SP6648的LED照明电路的设计(图)
摘要: 本文就目前较流行的几种SP6648EU驱动电路,介绍手电筒LED照明电路的设计考虑因素。
大功率LED用于照明是本世纪的新课题,其节能、安全、使用寿命长的综合优点将引发新一轮照明革命。在需要用电池供电的LED手电筒应用中,如何在使用相同电池的前提下,延长电池的使用时间呢?这就涉及到电源管理问题。本文就目前较流行的几种SP6648EU驱动电路,介绍手电筒LED照明电路的设计考虑因素。
1W LED的发光强度是由流经LED二极管的电流决定的。为了保持LED的发光强度,当电池放电的时候,流经LED的电流就需要调节。当一个大于VF的电压加在LED两端时就会有电流流过LED;VF是指LED的正向压降,不同LED的正向压降VF是不同的,并且随着环境温度的变化而变化;1W LED的VF典型值是3.3V,该值比由两节五号电池供电的电压高。两节五号电池供电的电压范围在1.8V~3.2V之间,因此需要外加一个升压电路把较低的电池供电电压提升到较高的输出电压。
升压电路如图所示,当图1中的开关导通时,输入电压加压在电感L1的两端,引起电感L1电流线性增加。在导通的最后阶段,电感电流增加到峰值Ipeak = Vin*Ton/L,此时开关关断。存储在电感中的能量会使节点V1的电压升高并超过Vin,直至使D1正向偏置而导通。此时电感电流通过D1泄漏。在开关关断期间,电感电流以(Vout–Vin)/L的斜率下降。

图1:简单的升压方框图
在稳定状态下,电感两端不存在直流电压,否则会产生较高的电流。这也意味着在一个稳定电流中,导通状态的伏秒值应该等于断开状态的伏秒值。

或
为了提供高压输出,控制环路需要调节主开关的导通与关断时间。通过监控输出的变化来调节开关的导通与关断,因此驱动LED的电流需要进行调节。为了达到上述目的,用一个小阻值的电阻(如图2中的R3)来检测LED的电流,并将此电压信号输出给控制环。

图2:2节五号电池驱动350mA LED的控制回路
在电池供电的电流中,逆变器的效率是电池寿命的一个重要指标。为了提高效率,整流二极管D1用额外的一个开关(同步整流器)来取代,该开关的损耗远远小于用二极管的损耗,因此提高了效率。这里采用一个具有特别功能的集成电路来实现这个升压调节器功能,该集成电路通常包括主开关、同步整流器以及精密基准和控制环路。

图3:2节五号电池驱动350mA LED的带低电压指标的控制回路
图2是一个简单的电源调节器,它可以将两节可充电的五号电池转换为驱动1W LED所需的可调电流。两节五号电池提供的电压通常在1.8V~3.2V间,因此需要升压以驱动LEDSP6648。高效升压调节器可以实现输出电流在各种电压下都可调节。通过电流反馈,即使在电池放电时也能保证LED亮度不变。该IC的同步整流功能保证了电池的长使用寿命和高转换效率,流过LED的电流利用以下公式的R3来调节:

图2中R3的阻值可将流过LED的电流设定为350MA。由上式可得,增大R3的阻值可以降低该电流。另外一种控制LED亮度的方法是在SHDN引脚上施加一个DWN信号。

图4:2节五号电池驱动350mA LED并带有亮度调节功能的控制回路
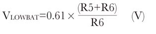
在电池放电完毕之前,SP6648一直对输出电流进行调节。如图3所示,为了避免较早出现低电警告,使用SP6648构成的检测电路调整开关。当LBI输入电压降到0.61V以下时,D3开关给出低电压指示,这表示电压过低。此时,LED上流过1mA左右电流。通过下式可以检测出电池电压下降的值:

将图3中的R5和R6值代入上式,得到低电压指示值为2V左右。
图4与图2仅有一点点差异,图4包括一个额外的满量程为10KΩ的可变电阻器,以便调节LED的亮度。当可变电阻器上的电流接近零或超过350mA时,LED上的电流不变。
Sipex提供的完善方案将使整个电路小型化。就性价比而言,Sipex的LED驱动是最好的选择。对于大电流的LED应用,SP6648驱动器则是最佳选择。如果要驱动更大电流的LED,可选择Sipex的SP7648,它能驱动700mA的LED。Sipex的升压驱动器具有设计简单、封装小巧和能效比好等特点。
凡注明为其它来源的信息,均转载自其它媒体,转载目的在于传递更多信息,并不代表本网赞同其观点及对其真实性负责。
用户名: 密码: