设计非隔离型反激LED驱动器(图)
摘要: 本应用笔记提供了一个驱动高亮度LED的简单电路,只需很少的外围元件,并提供了线性和PWM亮度调节的功能。非常适合Osram、Lumiled、Cree和Nichia LED。
概述
反激型LED驱动器比较通用,因为该结构可以用于输入电压高于或低于所要求的输出电压。此外,当反激电路工作在非连续电感电流模式时,能够保持LED电流恒定,无需额外的控制回路。本应用笔记所描述的电路基于高度集成的MAX16802 PWM LED驱动器IC。
应用
LED轨道照明
通用LED照明设备
特性
- 10.8V至24V输入电压范围
- 为单个3.3V LED供电,提供350mA (典型)电流(其它LED配置结构,请按照设计步骤进行设计)
- 29V (典型值)阳极对地的最大开路电压
- 262kHz开关频率
- 逐周期限流
- 通/断控制输入
- 允许使用低频PWM信号调节亮度
- 可以调整电路以适应多种形式的串联、并联LED配置
典型应用电路

注意:当+VLED和-VLED不与LED连接时,请勿给电路供电。
元件列表
Designation Qty. Description
C1 1 1nF ±10%, 50V X7R ceramic capacitor (0603) TDK C1608X7R1H102K
C2 1 220pF ±10%, 50V X7R ceramic capacitor (0603) TDK C1608X7R1H221K
C3, C4, C7 3 0.1μF ±10%, 50V X7R ceramic capacitor (0603) TDK C1608X7R1H104
C5 1 10μF ±10%, 25V X7R ceramic capacitor (1206) TDK
C6 1 10μF ±10%, 16V X7R ceramic capacitor (1206) TDK C3216X7R1C475K
D1 1 40V, 1A Schottky diode (SMA) CMSH1-40M Central Semiconductor
L1 1 10μH inductor Coilcraft DO3308P-103
Q1 1 40V, 0.045W MOSFET Vishay Si2328DS
R1, R3 2 499k ±1% resistor (0603)
R2 1 22.1k ±1% resistor (0603)
R4 1 73.2k ±1% resistor (0603)
R5 1 100k ±5% resistor (0603)
R6 1 150 ±1% resistor (0603)
R7 1 100 ±1% resistor (0603)
R8 1 10 ±5% resistor (0603)
R9, R10 2 1 ±1% resistor (0805)
R11 1 1 ±1% resistor (0805)
U1 1 PWM IC Maxim: MAX16802AEUA (8-pin μMAX?)
电路拓扑
开环,非隔离型反激LED驱动器十分通用,而且使用方便。它具有一系列优点,非常受欢迎。这些优点包括:
- 无需外部控制环路即可调节LED电流
- 非连续电感电流传输降低EMI辐射
- 较低的开关导通损耗
- 简单的电路设计流程
- LED电压可高于或低于输入电压
- 较宽的输入电压范围
- 可以方便地接入PWM亮度调节信号
最大的优点是简单,代价是存在以下缺点:
- LED电流受元件容限的影响,例如,电感和检流比较器传输延迟
- 非连续电感电流工作模式,使该拓扑结构更适合于低功耗应用
设计步骤
最重要参数是LED的电流。高亮度LED的工作电流一般为几百mA。为了延长LED的工作寿命,电流必须保持恒定;电源从本质上说是一个电流驱动器。可以通过几种方案实现,一个简单而且低成本的解决方案是:采用专用的电流模式PWM控制器IC,例如MAX16802。该器件的优点是:
- 高集成度—所需的外围元件很少
- 高达262kHz开关频率
- 微小的8引脚μMAX封装
- 较小的检流门限,降低损耗
- 相当精确的振荡频率,有助于减小LED电流变化
- 片上电压反馈放大器,可用于限制输出开路电压
给定LED参数为:
步骤1:计算最小输入电压下最佳占空比的近似值:

其中Rb为整流器电阻,与应用电路中的R11相同,在本应用中设定为1。VD为整流二极管D1的正向压降。
将已知数值代入上式得到:

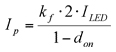
步骤2:计算峰值电感电流的近似值:

其中Kf为临界“误差系数”,这里设为1.1。
将已知值代入上式得到:

步骤3:计算所需电感的近似值,并选择小于并最接近于计算值的标准电感:

其中L为应用电路中的L1;f为开关频率,等于262kHz。
将已知值代入上式得到:

低于该值、最接近的标准值为10μH。
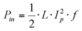
步骤4:通过反激工作过程传递到输出端的功率:

输出电路的损耗功率等于:

根据能量守恒原理,上述两个式子应该相等,即可得到一个更精确的峰值电感电流:

其中L为实际选择的标准电感值。
将已知数值代入上式可得:

步骤5:计算检流电阻,由R9和R10并联而得;计算电压检测分压电阻(如果需要),由R6和R7组成。
MAX16802的限流门限为291mV。因此选择R9、R10、R6和R7,满足步骤4所计算的电感峰值电流。
这步完成后,即可得到应用电路中的各个元件值,该电路可提供12V、350mA输出。因为存在寄生效应,因此电阻值(R7)需要进行适当调整,以得到所期望的电流。
步骤6:R1和R2可选。它们用于调整+VLED至29V。这在输出端出现意外开路时非常有用。如果没有上述元件的分压,输出电压有可能上升,导致器件损坏。
元件C1和R5也为可选,用于稳定电压反馈环路。对于当前应用,可以不使用这些元件。
低频PWM亮度调节
控制LED灯源亮度的最好办法是通过一个低频PWM脉冲调制LED电流。使用这种方法,LED电流根据占空比的变化触发脉冲,同时保持电流幅度恒定。这样,器件发出的光波波长在整个调节范围内保持不变。
利用下面电路可实现PWM亮度调节。

特性曲线

印刷电路板


μMAX是Maxim Integrated Products, Inc的注册商标。
|
||||||||||||||
凡注明为其它来源的信息,均转载自其它媒体,转载目的在于传递更多信息,并不代表本网赞同其观点及对其真实性负责。
用户名: 密码:



